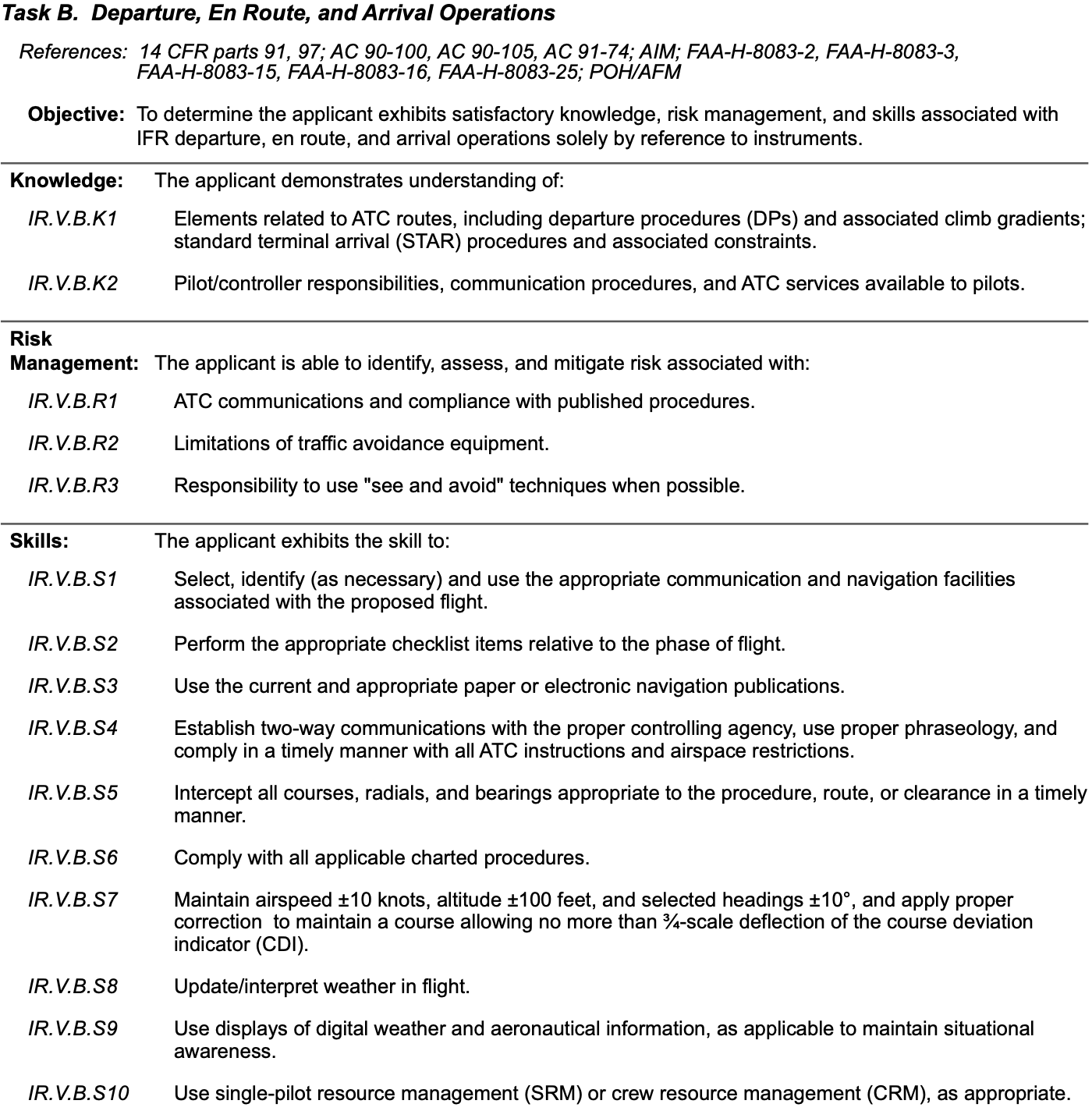
Departure, En Route, and Arrival Operations
This page covers Task B. Departure, En Route, and Arrival Operations from the FAA-S-ACS-8C Instrument Rating Airplane Airman Certification Standards.
Objective
To determine the applicant exhibits satisfactory knowledge, risk management, and skills associated with IFR departure, en route, and arrival operations solely by reference to instruments
Completion Standards
